Оглавление:
Системы линейных ДУ с постоянными коэффициентами
Рассмотрим еще один метод интегрирования нормальной системы уравнений (52.1) в случае, когда она представляет собой систему линейных однородных ДУ с постоянными коэффициентами, т. е. систему вида

Для простоты ограничимся рассмотрением системы трех уравнений с тремя неизвестными функциями
и
:

где все коэффициенты
— постоянные.
Будем искать частное решение системы (52.6) в виде

где
— постоянные, которые надо подобрать (найти) так, чтобы функции (52.7) удовлетворяли системе (52.6).
Подставив эти функции в систему (52.6) и сократив на множитель
, получим:

или

Систему (52.8) можно рассматривать как однородную систему трех алгебраических уравнений с тремя неизвестными
. Чтобы эта система имела ненулевое решение, необходимо и достаточно, чтобы определитель системы был равен нулю:

Уравнение (52.9) называется характеристическим уравнением системы (52.6). Раскрыв определитель, получим уравнение третьей степени относительно
. Рассмотрим возможные случаи.
Случай 1. Корни характеристического уравнения действительны и различны:
. Для каждого корня
напишем систему (52.8) и определим коэффициенты
(один из коэффициентов можно считать равным единице). Таким образом, получаем:
- для корня
частное решение системы (52.6): 
; - для корня

- для корня
.
Можно показать, что эти функции образуют фундаментальную систему, общее решение системы (52.6) записывается в виде

Пример №52.3.
Решить систему уравнений:

Решение:
Характеристическое уравнение (52.9) данной системы имеет вид

или
. Частные решения данной системы ищем в виде
,
и
,
. Найдем
и
.
При
система (52.8) имеет вид

Эта система имеет бесчисленное множество решений. Положим
, тогда
. Получаем частные решения

При
система (52.8) имеет вид

Положим
, тогда
. Значит, корню
соответствуют частные решения:

Общее решение исходной системы, согласно формуле (52.10), запишется в виде:
.
Случай 2. Корни характеристического уравнения различные, но среди них есть комплексные:
. Вид частных решений в этой ситуации определяют так же, как и в случае 1.
Замечание. Вместо полученных частных решений можно взять их линейные комбинации (п. 50.1, случай 3), применяя формулы Эйлера; в результате получим два действительных решения, содержащих функции вида
. Или, выделяя действительные и мнимые части в найденных комплексных частных решениях, получим два действительных частных решения (можно показать, что они тоже являются решениями уравнения). При этом понятно, что комплексно-сопряженный корень
не даст новых линейно независимых действительных решений.
Пример №52.4.
Найти частное решение системы

удовлетворяющее начальным условиям:
.
Решение:
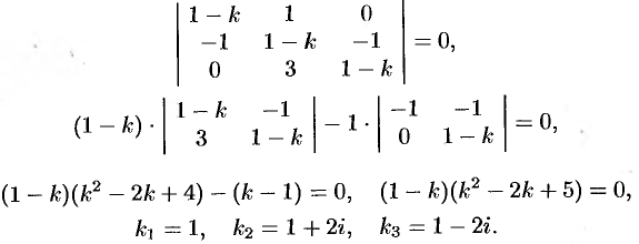
Составляем и решаем характеристическое уравнение:

Для
получаем:

(см. (52.8)). Отсюда находим:
(положили),
. Частное решение системы:
.
Для
получаем (см. (52.8)):

Отсюда находим:
(положили),
. Частное комплексное решение системы:

В найденных решениях выделим действительную
и мнимую
части:

Как уже отмечено, корень
приведет к этим же самым решениям.
Таким образом, общее решение системы имеет вид

Выделим частное решение системы. При заданных начальных условиях получаем систему уравнений для определения постоянных
:

Следовательно, искомое частное решение имеет вид

Случай 3. Характеристическое уравнение имеет корень
кратности
. Решение системы, соответствующее кратному корню, следует искать в виде:
а) если
, то

б) если
, то

Это решение зависит от
произвольных постоянных. Постоянные
определяются методом неопределенных коэффициентов. Выразив все коэффициенты через
из них, полагаем поочередно один из них равным единице, а остальные равными нулю. Получим
линейно независимых частных решений системы (52.6).
Пример №52.5.
Решить систему уравнений:

Решение:
Составляем и решаем характеристическое уравнение

. Корню
соответствует система (см. (52.8)):

Полагая
, находим
. Получаем одно частное решение исходной системы:
.
Двукратному корню
(
) соответствует решение вида
,
,
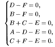
. Подставляем эти выражения (решения) в уравнения исходной системы:

или, после сокращения на
и группировки,

Эти равенства тождественно выполняются лишь в случае, когда

Выразим все коэффициенты через два из них (
), например через
и
. Из второго уравнения имеем
. Тогда, с учетом первого уравнения, получаем
. Из четвертого уравнения находим
, т. е.
. Из третьего уравнения:
, т. е.
, или
. Коэффициенты
и
— произвольные.
Полагая
, находим:
.
Полагая
, находим:
.
Получаем два линейно независимых частных решения, соответствующих двукратному корню
:

Записываем общее решение исходной системы:

На этой странице размещён полный курс лекций с примерами решения по всем разделам высшей математики:
Другие темы по высшей математике возможно вам они будут полезны:

